• A 1-D Atmospheric energy balance model developed for ocean modelling.

    Chen, D., Gerdes, R., Lohmann, G., 1995: Theor. Appl. Climatol. 51, 25-38.

    We present a simple, deterministic energy balance model in this report. The model is designed to represent the atmospheric component of the coupled atmosphere-ocean system. It is a one dimensional, global model with time and space resolutions of one year and 10^0 of latitude respectively. The model predicts the surface air temperature and estimates the surface freshwater flux diagnostically.

    The coupling between the atmospheric model and an ocean model is accomplished by heat and freshwater fluxes at their interface. The heat flux is calculated according to the difference in the surface air temperature and ocean surface temperature, while the freshwater flux is estimated from the latent heat transport in the atmosphere by a diagnostic equation since no explicit hydrologic cycle or water vapour budget is kept in the model. Two parameterizations for the latent heat transport are proposed, which distinguishes the two versions of the model. The assumptions made in the first version are that the total heat transport in the combined system is invariant and that the atmospheric sensible heat transport can be approximated by a diffusion process, whereas in the second version both atmospheric sensible heat and water vapour transport are treated as a diffusion process.

    Before proceeding with interactive runs, we study the behaviour of the model in a decoupled mode. Some experiments with initial conditions altered and external forcings changed are carried out to investigate the sensitivity and stability of the model. In particular, the influence of the ice-albedo feedback on model solutions is examined. The results of these experiments may be helpful both in understanding the characteristics of the model and in interpreting results when the model is coupled to an OGCM.


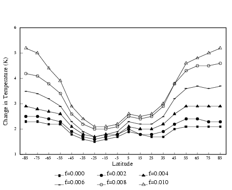
    2 x CO2 Experiment


     

    -> available as plain PostScript file (HUGE !)

    -> Techn. Report 1993 plain PostScript file (HUGE !)